最新文章

[Journal of the Mechanics and Physics of Solids] Nonadditive...

Zonghuiyi Jiang, Zhuhua Zhang, Zepu Kou, Yuquan Zhou, Fangyuan Chen, Jun Yin, Wanlin Guo, Xiaofei Liu Journal of the Mechanics and Physics of Solids ,2026,106522 Abstract: ...

[Nature Electronics] Manipulating thousands of non-volatile ...

Xiaofan Wang, Xiaokai Chen, Yuyang Long, Jinguo Liu, Fanrong Lin, Jun Yin, Yanpeng Liu, Wanlin GuoNature Electronics ,2026,1-9 Abstract: Creating multiple polarization st...

[Nano Letters] Hydrovoltaics for Energy, Ecology, and Intell...

Xiaofeng Jiang, Zhuhua Zhang, Wanlin Guo, Xiuqiang Li Advanced Materials ,2026,e14460 Abstract: The Earth’s water cycle holds one of the largest continuous energy flows i...

[Physical Review B] Brillouin zone folding enables high- sur...

Zi-Dong Zhang, Wanlin Guo Physical Review B ,2026,113(2),024109 Abstract: Conventional theory holds that high quality factor (Q) surface acoustic wave modes cannot exist ...

[Advanced Materials] Personal Thermoregulation by Heat‐Condu...

Xiaofeng Jiang, Zhuhua Zhang, Wanlin Guo, Xiuqiang Li Advanced Materials ,2026,e14460 Abstract: Personal thermal management (PTM) is a technique leveraging advanced texti...

[Nano Letters]Cross-State Alternating Magnetism in Two-Dimen...

Xiaokai Chen, Xiaoyu Xuan, Wanlin Guo, Zhuhua Zhang Nano Letters ,2025 Abstract: Altermagnetism is characterized by alternating spin polarizations in both real and reciprocal ...

[ACS Applied Materials & Interfaces]Janus Dual-Layer Hydrovo...

Liangpu Lv, Yiding Chen, Kelan Zhang, Hongyang Ma, Dan Zhu, Wei Deng, Jun Yin, Wanlin Guo ACS Applied Materials & Interfaces ,2025 Abstract: Leveraging water–solid interac...

[Iontronics]Hydrovoltaic energy and intelligence: where ions...

Jidong Li, Jun Yin, Wanlin Guo Iontronics ,2025,1(1) Abstract: Hydrovoltaic technology, which harvests electricity from water interactions with solid materials through ion-ele...

[Science Advances]Phosphorus-lithium double-helix nanoribbon...

Chuang Hou, Huan Lu, Yi Liu, Qilong Wu, Nathampapop Jobsri, Siyuan Liu, Liren Wang, Qiang Gao, Jiamin Wu, Byunghun Oh, Ryoto Yanagisawa, Xin Wu, Masahiro Nomura, Wanlin Guo, Naoji ...

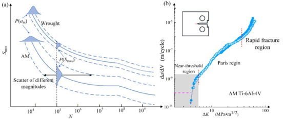
[International Journal of Fatigue]Slow fatigue crack growth ...

Jiafen Cao, Mengqi Gu, Wanlin Guo International Journal of Fatigue ,2025,109430 Abstract: It is widely recognized that the near-threshold slow fatigue crack growth (FCG) in me...